A point mutation is a type of mutation in dna or rna the cells genetic material in which one single nucleotide base is added deleted or changed. Download Sickle Cell Dna Rna Mutation Worksheet BackgroundThe dna differs in a single base where the codon for normal hemoglobin codes for glutamine and the mutant form the worksheet is fairly basic intended to help students understand the relationship between dna rna the concept of mutations is included but it is not the focus of the activity.

Gene Therapy The Structure And Genome Of Retrovirus Gene Therapy Therapy Retrovirus
This is the sickle-cell mutation.

Sickle cell dna rna mutation worksheet. This specific mutation in the DNA then leads to a change in the phenotype trait of the individual from normal red blood cells that are rounded to a sickle shape. Get thousands of teacher-crafted activities that sync up with the school year. The mutation causes these red blood cells to become stiff sickle-shaped when they release their oxygen.
What are spontaneous mutations. Mutations for the most part are harmless except when they lead to cell death or tumor formation. The mutation causes these red blood cells to become stiff sickle-shaped when they release their oxygen.
Recall that hemoglobin carries oxygen in your red bloods cells. On the worksheet translate the RNA sequences into amino acids using the Genetic Code Chart and write their names in the appropriate box. Start studying dna proteins and mutations.
The worksheet is fairly basic intended to help students understand the relationship between DNA RNA and proteins The Central Dogma A codon wheel is included on the chart but could be replaced with a codon chart. Sickle cell anemia is the result of a type of mutation in the gene that codes for part of the hemoglobin molecule. Define mutation.
10 Sickle Cell Dna Rna Mutation Worksheet Gif. Mutations in the gene result in an alteration of the protein so that epithelial cells are defective in transporting these ions alpha helices and pleated sheets from web chemistry. Sickle cell is a disease where a person has abnormally shaped blood cells.
A chimeric oligonucleotide composed of DNA and modified RNA residues was used to direct correction of the mutation in the hemoglobin betaS allele. After introduction of the chimeric molecule into lymphoblastoid cells homozygous for the betaS mutation there was a detectable level of gene conversion of the mutant allele to the normal sequence. C A C G T G G A C T G A G G A C A C C T C.
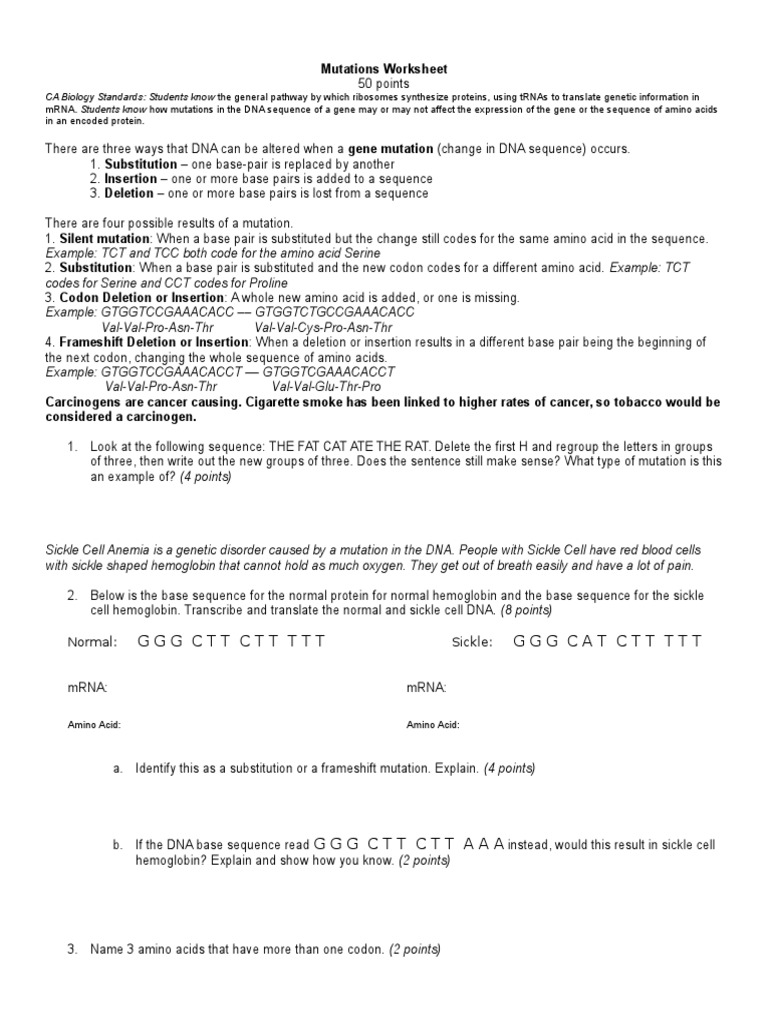
DNA Proteins and Sickle Cell. Sickle cell hemoglobin mRNA. Sickle cell anemia is the result of a type of mutation in the gene that codes for part of the hemoglobin molecule.
Recall that hemoglobin carries. Sickle cell hemoglobin DNA. In this worksheet you will learn how a mutation can alter the phenotype of an individual by creating a change in the amino acid sequence of the coded protein.
The Beginning of the Sickle Cell Hemoglobin Gene. The disease is caused by a mutated version of the gene that helps make hemoglobin a protein that carries oxygen in red blood cells. Upon replicating DNA cells have 2 initial ways to fix mistakes editingproofread and mismatch repair.
Sickle cell hemoglobin. Transcribe and translate the normal and sickle cell dna. In the table below compare the DNA for the Beginning of the Normal Hemoglobin Gene vs.
The mutation causes the red blood cells to become stiff and sickle-shaped when they release their oxygen. The concept of mutations is included but it is not the focus of the activity. Ad The most comprehensive library of free printable worksheets digital games for kids.
The students will transcribe the dna sequences on the mutations worksheet see teaching phase. In contrast what is the approximate spontaneous mutation rate in an RNA virus. Hemoglobin is a protein found in red blood cells and is responsible for binding and carrying oxygen from the lungs to the cells of the body.
Nonsense Mutation Sickle Cell Anemia Sickle cell anemia is the result of a type of mutation in the gene that codes for part of the hemoglobin molecule. The mutation causes the red blood cells to become stiff and sickle. Recall that hemoglobin carries oxygen in your red bloods cells.
The reason for the abnormal shape of blood lies in the underlying genetic code. Sickle cell anemia is the result of a type of mutation in the gene that codes for part of the. On the worksheet transcribe both DNA sequences into RNA sequences.
Sickle cell anemia is a genetic disease with severe symptoms including pain and anemia. Recall that hemoglobin carries oxygen in your red bloods cells. The mutation causes these red blood cells to become stiff sickle-shaped when they release their oxygen.
On the worksheet place a box around each 3-letter RNA codon. Get thousands of teacher-crafted activities that sync up with the school year. A case study of the effects of mutation.
Dyang Last modified by. This gene provides the instructions for making a protein called beta-globin. The sequence below shows a part of the genetic code for the HBB Gene.
5222015 30500 PM Company. Ad The most comprehensive library of free printable worksheets digital games for kids. Sickle cell anemia is the result of a type of mutation in the gene that codes for part of the.
What is the approximate spontaneous mutation rate in a cell.

Genetic Pedigree Powerpoint And Cystic Fibrosis Worksheet In 2021 Genetic Counseling Genetics Worksheets

The Genetics Of Sickle Cell Anemia
Sickle Cell Anemia Translation Practice Worksheet
Mutations Worksheet Genetic Code Nucleic Acid Sequence

3d Animations Transcription Translation Transcription Basic Dna Learning Center Transcription Learning Centers Transcription And Translation

Genetics Notes For Visual Learners Genetics Activities Genetics Biology Classroom

Making A Sickle Cell Mutation Brain Stem
![]()
Investigation Dna To Proteins Studocu

Five Nitrogenous Bases Of Dna And Rna Purines And Pyrimidines Download Scientific Diagram Nitrogenous Base Dna And Rna Biology Syllabus

Investigation Dna Proteins And Mutations Dna Transcription Dna Protein

Difference Between Point Mutation And Frameshift Mutation Definition Types Features Diseases Caused Point Mutation Mutation Mutations Biology
![]()
Investigation Dna To Proteins Doc Name Ahmad Yahya Investigation Dna Proteins And Sickle Cell Sickle Cell Is A Disease Where A Person Has Abnormally Course Hero







0 comments:
Post a Comment